A system of linear equations can have no solution, a unique solution or infinitely many solutions.
A system has no solution if the equations are inconsistent,
A Good institute which teaches Mathematics and Physics step by step solved by the students themselves from the very first day we help you study yourself by helping you in the way your natural frequency of learning the subject, frequency means number of topics you can learn per day or the questions you can attempt in an hour daily and regularly.
Thursday, 25 May 2017
class 10th substitution method for solving simultaneous equations
Substitution Method is used to solve the linear system of equations for one or more variables.It is an algebraic method used to find an exact solution.
class 10th graphical method in linear equations
linear equation
then system has a unique solution and is known as consistent.
(b) If
(c) If

A linear equation is an algebraic equation in which
each term is either a constant or the product of a constant and a single variable.
The constants may be numbers, parameters, or even non-linear functions of parameters, and the distinction between
variables and parameters may depend on the problem.
(Linear equations can have
one or more variables)
A linear equation is an equation between two variables that gives a
straight line when plotted on a graph.
Linear Equation: An equation of the form ax+by+c=0 or ax+by =d,
where a,b,c,d are real numbers, a2+b2 ≠0 and x, y
are variables, is called linear equation in two variables.
Pair of linear equations in two variables:
i)Graphical method
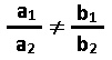
(a) If
then graph will
represent two interesting lines. Point of intersection is solution of the
system.
(b) If
Pair of linear equations in two variables:
i)Graphical method
(a) If
(b) If
then graph will represent two parallel lines. System has no common solution.
(c)If
then graph will represent two coinciding lines. System has infinitely many solutions.
ii)Algebraic method
Let the system of linear equation in two
variables be a1x+b1y=c1 and a2x+b2y=c2.
(a) If
then system has a unique solution and is known as consistent.
(b) If
( then system has no solution and is known as inconsistent.
(c) If

( then system has infinitely many solutions
and is known as dependent consistent.
class 10th Age problems
How to to solve Problems on Ages of one person, of two or more persons using Algebra. Step by step solutions for algebra word problems that deal with the ages of people currently, in the past or in the future.
Subscribe to:
Comments (Atom)

